wersja strony sprzed 2023
Tematyka badań:
- Kluczowa rola trójkąta: karotenoidy-retinoidy-cytochromy w rozwoju i progresji nowotworów
- Zastosowanie obrazowania i spektroskopii Ramana w badaniach lipidemicznych, proteomicznych, epigenetycznych tkanek i komórek ludzkiego mózgu, gruczołu piersiowego, płuc i przewodu pokarmowego prawidłowych, nowotworowych, w warunkach normalnych i stresu oksydacyjnego
- Badanie właściwości nanomechanicznych tkanek oraz komórek ludzkich przy pomocy techniki AFM i AFM-nano-IR
- Zastosowanie spektroskopii fluorescencyjnej w badaniach struktury i szlaków metabolicznych komórek ludzkich, spektroskopowa analiza żywotności komórek
- Dynamika femtosekundowa fotoprzełączników molekularnych z grupy diaryletenów
Członkowie zespołu LLSM wzięli udział w konferencji European Congress on Molecular Spectroscopy (EUCMOS), która odbyła się w dniach 24.08-29.08.2025 r. na Uniwersytecie Wrocławskim.
-
Prof. dr hab. Halina Abramczyk wygłosiła wykład pt. „A New Modality for Cancer Tracking – Raman Imaging, NanoIR Imaging, Fluorescence and AFM Studies Combined with AI Analysis” (współautorzy: M. Kopeć, J. Surmacki).
-
Dr hab. inż. Beata Brożek-Płuska, prof. PŁ wygłosiła wykład pt. „Exploring The Therapeutic Molecules Effects in Colon Cells Using Integrated Raman Imaging-AFM-Femtosecond Laser Spectroscopy” (współautorzy: B. Brożek-Płuska, K. Beton-Mysur).
-
Dr hab. inż. Jakub Surmacki, prof. PŁ zaprezentował postery:
-
J.M. Surmacki, H. Abramczyk pt. „Modulation of Cytochrome C Redox Status by Retinoids in Human Breast Cancer Cells: Insights from Raman Imaging”,
-
J.M. Surmacki, M. Kopeć, H. Abramczyk pt. „Raman Spectroscopy and Artificial Intelligence as a Novel Approach for HER2 Status Assessment in Breast Cancer”.
-
-
Dr inż. Monika Kopeć zaprezentowała poster pt. „The Role of Cardiolipin and Cytochrome C in Mitochondrial Metabolism of Cancer Cells Determined by Raman Imaging: in situ Study on the Brain Glioblastoma U-87 MG Cell Line” (współautorzy: A. Borek-Dorosz, K. Jarczewska, M. Barańska, H. Abramczyk).
Raman Spectroscopy and Imaging Reveal the Effect of β‑Carotene
K. Jarczewska, M. Kopeć, H. Abramczyk, and J. M. Surmacki, 2025, Biochemistry, DOI: 10.1021/acs.biochem.5c00231
Prof. Halina Abramczyk wygłosiła wykład plenarny pt. „A new modality for cancer tracking – Raman imaging, fluorescence, and AFM studies combined with AI analysis” podczas konferencji 12th Edition of the Global Insight Conference on Breast Cancer, która odbyła się w dniach 7–8 sierpnia we Wiedniu. Prof. Abramczyk pełniła również funkcję przewodniczącej jednej z sesji tej konferencji.
Dr inż. Karolina Beton-Mysur została laureatką Nagrody Komitetu Chemii Analitycznej Polskiej Akademii Nauk za najlepszą rozprawę doktorską, rozprawa została wyróżniona prestiżową Nagrodą LGC Standards, przyznawaną za wybitne osiągnięcia w zakresie pomiarów chemicznych.
Dr hab. inż. prof. PŁ Beata Brożek-Płuska, dr inż. Karolina Beton-Mysur oraz mgr inż. Karolina Jarczewska były członkiniami Komitetu Organizacyjnego XVI Sesji Magistrantów i Doktorantów Łódzkiego Środowiska Chemików. W ramach pełnionych funkcji aktywnie uczestniczyły w przygotowaniu oraz realizacji wydarzenia, wspierając organizację sesji naukowych, koordynację uczestników oraz działania promocyjne. Ich zaangażowanie przyczyniło się do sprawnego przebiegu sesji oraz stworzenia sprzyjającej atmosfery do wymiany wiedzy i doświadczeń pomiędzy młodymi naukowcami z regionu łódzkiego.
Dr inż. Monika Kopeć odbyła staż podoktorski (18.05.2025-31.05.2025) w Samodzielnej Pracowni Spektroskopii i Obrazowania Medycznego na Wydziale Nauk Medycznych Uniwersytetu Medycznego w Lublinie w zespole kierowanym przez dr hab. Annę Srokę-Bartnicką, prof. UM. Tematyka badań naukowych zrealizowanych podczas stażu podoktorskiego dotyczyła śledzenia wpływu suplementacji 5-fluorouracylu na komórki nowotworowe ludzkiego jelita (Caco-2 oraz LoVo) metodą spektroskopii i obrazowania Ramana.
Hypoxic conditions by Raman microspectroscopy – Reprogramming of fatty acids and glucose metabolism during colon cancer progression
M. Kopeć, K. Beton-Mysur, J. Surmacki, B. Brożek-Płuska, Spectrochim. Acta A Mol. Biomol. Spectrosc., 2025, 339, 126275, DOI: 10.1016/j.saa.2025.126275
Exploring the Impact of Citalopram on Human Colon Cells: Insights into Antidepressant Action Beyond the Brain
K. Beton-Mysur, B. Brożek-Płuska,, Spectrochim. Acta Part A, 2025, DOI: 10.1016/j.saa.2025.126464
Mgr inż. Karolina Jarczewska w okresie od 1 lutego do 2 marca 2025 odbyła staż naukowy w zespole Hybrid Nanostructures kierowanym przez prof. Ilko Balda na Wydziale Chemii Uniwersytetu w Poczdamie, Niemcy. W ramach realizowanych działań badawczych mgr inż. Karolina Jarczewska przeprowadziła analizę komórek ludzkiego gruczołu piersiowego za pomocą spektroskopii Ramana wzmocnionej powierzchniowo (SERS) .
In Vitro Analysis of ß-Carotene Supplementation: Insights from Raman Spectroscopy on Brain, Lung, and Breast Cancer Cells
K. Jarczewska, M. Kopec, J. Surmacki, , Phys. Chem. Chem. Phys., 2025, DOI: 10.1039/d5cp01289a
Raman signatures of astrocytoma metabolism alterations induced by crocin, fucoxanthin and lutein
K. Jarczewska, M. Kopeć, J. M. Surmacki, Spectrochim. Acta Part A, 2025, DOI: 10.1016/j.saa.2025.126465
Monitoring cellular human breast adenocarcinoma cells’ response to xanthophylls by label-free Raman spectroscopy and imaging
K. Jarczewska, M. Kopec, J. Surmacki, Spectrochim. Acta A Mol. Biomol. Spectrosc., 2025, 339, 126263, DOI: 10.1016/j.saa.2025.126263
Modifications of Cytochrome c by Retinoic Acid Play a Crucial Role in Mitochondrial Dysfunction of Triple-Positive Human Breast Cancer Cells: Raman Spectroscopy and Imaging Study
H. Abramczyk, M. Kopec, J. Surmacki, ACS Omega, 2025, DOI: 10.1021/acsomega.5c00393
How heme environment changes everything essential for the survival of virtually all living cells. Raman analysis of vibrations in hemoglobin and cytochrome c upon oxygen and carbon dioxide
H. Abramczyk, J. Surmacki, J. Mol. Struct., 2025, 142658, DOI:10.1016/j.molstruc.2025.142658
The Triangle: Carotenoids–Retinoids–Cytochromes Govern Essential Functions for Development and Progression of Cancer
H. Abramczyk, M. Kopeć, J. Surmacki, Spectrosc. J. 2025, 3(1), DOI: 10.3390/spectroscj3010009
Tale of Three Dithienylethenes: Following the Photocycloreversion with Ultrafast Spectroscopy and Quantum Dynamics Simulations
A. Jarota, E. Pastorczak, J. Phys. Chem. B 2025, 129, 5, 1605–1613, DOI: 10.1021/acs.jpcb.4c04135
W okresie od lutego 2023 do lutego 2024 w zaspole LLSM realizowany był projekt badawczy pt. „Zastosowanie spektroskopii Ramana w analizie komórek nowotworowych suplementowanych karotenoidami – określenie wpływu” (nr FU2N-503 3-34-4-1). Kierownikiem i wykonawcą projektu była mgr inż. Karolina Jarczewska. Opiekę merytoryczną nad projektem sprawowali dr hab. inż. prof. PŁ Jakub Surmacki oraz dr inż. Monika Kopeć.
Z przyjemnością informujemy, że dr inż. Monika Kopeć została laureatką XVII edycji konkursu o stypendia naukowe dla pracowników i doktorantów oraz stypendia za wyniki w nauce dla studentów z Własnego Funduszu Stypendialnego PŁ. To wyróżnienie jest przyznawane wyłącznie najlepszym pracownikom Politechniki Łódzkiej.
Nagroda została przyznana w trybie konkursowym uwzględniając wiele aspektów pracy naukowej aplikantki włączając w to temat realizowanej pracy habilitacyjnej oraz jej wpływ na naukę, dokonania naukowe oraz osiągnięcia.
Z przyjemnością informujemy, że nasza Doktorantka, mgr inż. Karolina Jarczewska została laureatką XVII edycji konkursu o stypendia naukowe dla pracowników i doktorantów oraz stypendia za wyniki w nauce dla studentów z Własnego Funduszu Stypendialnego PŁ. To wyróżnienie jest przyznawane wyłącznie najlepszym doktorantom Politechniki Łódzkiej.
Nagroda została przyznana w trybie konkursowym uwzględniając wiele aspektów pracy naukowej aplikantki włączając w to temat realizowanej pracy doktorskiej oraz jej wpływ na naukę, dokonania naukowe oraz osiągnięcia.
Nasza doktorantka, mgr inż. Karolina Jarczewska, została nagrodzona podczas konferencji European Conference on the Spectroscopy of Biological Molecules 2024 (ECSBM2024), Łódź, 1-5 września 2024. Karolina otrzymała otrzymała I nagrodę za poster pt. "Should I eat algae? The impact of fucoxanthin on astrocytoma cells." oraz II nagrodę za wystąpienie ustne pt. "The impact of xanthophylls on brain and breast cancer development".
Stanford University opublikowało nazwiska 2% najlepszych naukowców na świecie, których publikacje są najczęściej cytowane przez innych autorów. Wśród nich znalazła się prof.dr hab. Halina Abramczyk z Politechniki Łódzkiej: link
22 września 2024 prof. dr hab. Halina Abramczyk wygłosiła referat na zaproszenie „A new modality for fertility and cancer tracking – Raman imaging, fluorescence and AFM studies combined with AI analysis" podczas konferencji: XVII INTERNATIONAL CONFERENCE ON MOLECULAR SPECTROSCOPY , 22-25 SEPTEMBER 2024 , WOJANÓW , POLAND https://icms.intibs.pl/
Z przyjemnością informujemy, że nasza Doktorantka, mgr inż. Karolina Beton-Mysur została laureatką prestiżowego stypendium kanadyjskiego. To wyróżnienie jest przyznawane wyłącznie najbardziej obiecującym naukowcom w ich dziedzinach, a otrzymanie go stanowi potwierdzenie wybitnych osiągnięć naukowych oraz ogromnego potencjału badawczego.
Stypendium to jest przyznawane przez Czesław M. Rodkiewicz Scholarship Foundation i wspiera wyjątkowych młodych naukowców w realizacji ich projektów badawczych, umożliwiając im dalszy rozwój naukowy oraz zdobycie cennego doświadczenia w międzynarodowym środowisku akademickim.
Nagroda została przyznana w trybie konkursowym uwzględniając wiele aspektów pracy naukowej aplikantki włączając w to temat realizowanej pracy doktorskiej oraz jej wpływ na naukę, dokonania naukowe, osiągnięcia, a także na podstawie opinii niezależnych pracowników naukowych.
A novel HER2 protein identification methodology in breast cancer cells using Raman spectroscopy and Raman imaging: an analytical validation study
H. Abramczyk, J. Surmacki, M. Kopeć, 2024, bioRxiv, DOI: 10.1101/2024.07.04.602049
Monitoring alterations of all-trans-retinal in human brain cancer cells by label-free confocal Raman imaging: regulation of redox status of cytochrome c
K. Jarczewska, M. Kopeć, H. Abramczyk, J. Surmacki, RSC Advances, 2024, 14, 20982 - 20991, DOI: 10.1039/D4RA01542H
mgr inż. Karolina Beton-Mysur została wybrana na reprezentantkę Wydziału Chemicznego podczas XV sesji Magistrantów i Doktorantów Łódzkiego Środowiska Chemicznego, która odbyła się w dniu 12.06.2024 r. Podczas konferencji doktorantka wygłosiła wystąpienie pt. "Innowacyjne metody diagnostyczne nowotworów układu pokarmowego - jak uratować miliony ludzi przed zachorowaniem". Wystąpienie zostało nagrodzone nagrodą Polskiego Towarzystwa Chemicznego oraz nagrodą Dyrektora Szkoły Doktorskiej BioMedChem Uniwersytetu Łódzkiego i Instytutów Polskiej Akademii Nauk w Łodzi.
Dr hab. B. Brożek-Płuska, prof. uczelni wygłosiła 24.05.2024 r. wykład na zaproszenie na Uniwersytecie Medycznym w Lublinie podczas “3rd Seminar - Application of vibrational spectroscopy in biomedicine”: B. Brożek-Płuska, K. Beton-Mysur, "Raman imaging, AFM and fluorescence spectroscopy - a valuable tools in human digestive tract
diagnostics".
Dr hab. J. Surmacki, prof. uczelni wygłosił 23.05.2024 r. wykład na zaproszenie dla Studenckiego Koła Naukowego Nano: "Spektroskopia i obrazowanie ramanowskie w badaniach biomedycznych: od ex-vivo do in-vitro. "
Dr hab. B.Brożek-Płuska, prof. uczelni wygłosiła 19. 04. 2024 wykład na zaproszenie w Instytucie Chemii Fizycznej PAN, Warszawa: "Raman imaging, AFM, fluorescence microscopy - a valuable tools for human colon normal and cancer, tissues and cells chemical characterization".
Mgr inż. Karolina Jarczewska wygłosiła wystąpienie podczas IX Ogólnopolskiej Konferencji Doktorantów Nauk o Życiu BioOpen, 11-12.04.2024 (online): "Zastosowanie spektroskopii i obrazowania Ramana w analizie karotenoidów i retinoidów w nowotworach mózgu", K. Jarczewska, M. Kopec, J. Surmacki, Wystąpienie zostało nagrodzone
Mgr inż. K. Jarczewska wygłosiła prezentację podczas konferencji Baltic Chemistry Conference, 27-28.05.2023 (online): K. Jarczewska, J. Surmacki, M. Kopeć, H. Abramczyk, Analysis of brain cancer cell-Raman spectroscopy and imaging.
Dr inż. Monika Kopeć odbyła staż podoktorski (29.01.2023-28.02.2023) w Zespole Obrazowania Ramanowskiego na Wydziale Chemii Uniwersytetu Jagiellońskiego pod kierunkiem prof. dr hab. Małgorzaty Barańskiej
Ostatnio opublikowane:
Raman imaging-a valuable tool to track fatty acids metabolism-normal and cancer human colon single cell study
K. Beton-Mysur, M. Kopeć, B. Brożek-Płuska, International Journal of Molecular Sciences, 25, 2024, DOI: 10.3390/ijms25084508
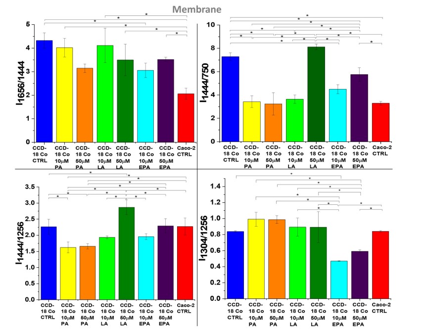
Raman-AFM-fluorescence-guided impact of linoleic and eicosapentaenoic acids on subcellular structure and chemical composition of normal and cancer human colon cells
K. Beton-Mysur, J. Surmacki, B. Brożek-Płuska, Spectrochimica Acta - Part A: Molecular and Biomolecular Spectroscopy,315, 2024, DOI: https://doi.org/10.1016/j.saa.2024.124242
Raman micro-spectroscopy reveals the spatial distribution of fumarate in cells and tissues
M. Kamp, J. Surmacki, M. Segarra-Mondejar, T. Young, K. Chrabaszcz, F. Joud, V. Zecchini, A. Speed, Ch. Frezza S. Bohndiek, accepted in Nature Communications
The role of glucose and fructose on lipid droplet metabolism in human normal bronchial and cancer lung cells by Raman spectroscopy
M. Kopeć, K. Beton-Mysur, Chem. Phys. Lipids, DOI: 10.1016/j.chemphyslip.2023.105375
Raman imaging and chemometric methods in human normal bronchial and cancer lung cells: Raman biomarkers of lipid reprogramming
M.Kopec, K. Beton-Mysur, H. Abramczyk, Chemistry and Physics of Lipids, 257 (2023), DOI:10.1016/j.chemphyslip.2023.105339
The role of cardiolipin and cytochrome c in mitochondrial metabolism of cancer cells determined by Raman imaging: in vitro study on the brain glioblastoma U-87 MG cell line
M. Kopeć, A. Borek-Dorosz, K. Jarczewska, M. Barańska, H Abramczyk, Analyst, DOI: 10.1039/d4an00015c
Biochemical changes in lipid and protein metabolism caused by mannose-Raman spectroscopy studies
M. Kopeć, K. Beton-Mysur, H. Abramczyk, Analyst, 2024. DOI: 10.1039/D4AN00128A
Nuclear physics midterm plan at LNS
C. Agodi, F. Cappuzzello, G. Cardella, H. Kierzkowska-Pawlak, J. Tyczkowski, A. Jarota, H. Abramczyk et al., European Physical Journal Plus, 138(11), 2023, 10.1140/epjp/s13360-023-04358-7
Hemoglobin and cytochrome c. reinterpreting the origins of oxygenation and oxidation in erythrocytes and in vivo cancer lung cells,
H. Abramczyk, J. M. Surmacki, M. Kopeć, K. Jarczewska, B. Romanowska-Pietrasiak, 13 (2023), DOI: 10.1038/s41598-023-41858-z
Raman Spectroscopy and Imaging Studies of Human Digestive Tract Cells and Tissues—Impact of Vitamin C and E Supplementation
K. Beton-Mysur, B. Brozek-Pluska, Molecules, 28 (2023), DOI: 10.3390/molecules28010137
The Composite Material of (PEDOT-Polystyrene Sulfonate)/Chitosan-AuNPS-Glutaraldehyde/as the Base to a Sensor with Laccase for the Determination of Polyphenols
Paweł Krzyczmonik, Marta Klisowska, Andrzej Leniart, Katarzyna Ranoszek-Soliwoda, Jakub Surmacki, Karolina Beton-Mysur, Beata Brożek-Płuska, Polyphenols, Materials (Basel), 16 (2023) DOI: 10.3390/ma16145113.
Confocal Raman imaging reveals the impact of retinoids on human breast cancer via monitoring the redox status of cytochrome c
J.M. Surmacki, H. Abramczyk, Sci. Rep. 13 (2023) DOI: 10.1038/s41598-023-42301-z
Control of Mitochondrial Electron Transport Chain Flux and Apoptosis by Retinoic Acid: Raman Imaging In Vitro Human Bronchial and Lung Cancerous Cells
H. Abramczyk, J.M. Surmacki, Cancers, 15 (2023) Cancers 2023, DOI:10.3390/cancers15184535
Evaluation of Label-Free Confocal Raman Microspectroscopy for Monitoring Oxidative Stress In Vitro in Live Human Cancer Cells
J. M. Surmacki, I. Quiros-Gonzalez, S. E. Bohndiek, Antioxidants 11 (2022) 573, DOI: 10.3390/antiox11030573
Decoding the role of cytochrome c in metabolism of human spermatozoa by Raman imaging
H. Abramczyk, B. Sobkiewicz, R. Walczak-Jędrzejowska, K. Marchlewska, J. Surmacki, Front. Cell Dev. Biol., 10 (2022), DOI: 10.3389/fcell.2022.983993
Wide-range IR spectra of diarylethene derivatives and their simulation using the density functional theory
A. Jarota, D. Drwal, J. Pięta, E. Pastorczak, Scientific Reports, 12 (2022) 16834, DOI: 10.1038/s41598-022-20264-x
Hyperglycemia and Cancer in human lung carcinoma by means of Raman spectroscopy and imaging
M. Kopeć, K. Beton, K. Jarczewska, H. Abramczyk, Scientific Reports, 12 (2022) 18561, DOI: 10.1038/s41598-022-21483-y
- prof. dr hab. Halina Abramczyk
- dr hab. inż. Beata Brożek-Płuska, prof. uczelni (kierownik laboratorium)
- dr hab. inż. Jakub Surmacki, prof. uczelni
- dr inż. Arkadiusz Jarota
- dr inż. Monika Kopeć
- mgr inż. Karolina Beton-Mysur
- mgr inż. Karolina Jarczewska
Byli członkowie zespołu:
dr Rafał Kania
dr Marek Kołodziejski
dr Gabriela Waliszewska
dr Katarzyna Paradowska-Moszkowska
dr Iwona Szymczyk
dr Piotr Ciąćka
dr Gabriela Wiosna
mgr Agnieszka Lebioda
mgr Marta Jackowicz
mgr Marceli Rzetelski
mgr Marcel Sobkiewicz
mgr Krzysztof Kurczewski
mgr Małgorzata Kurczewska
mgr Izabela Placek
mgr Agata Bondarczuk
mgr Sylwia Kędzia
mgr Joanna Gudej
mgr Magdalena Janczak
mgr Sylwia Ferenc
mgr Agnieszka Wróblewska
mgr Magdalena Olejniczak
mgr Michalina Stokowska
mgr Olga Olejniczak
mgr Marek Barut
mgr Marta Smolnik
mgr Justyna Jatczak
mgr Marta Krześniak
mgr Monika Jędrzejczyk
mgr Katarzyna Biernacka
mgr Piotr Wysocki
inż. Paulina Piotrowicz
inż. Iga Dominiak
inż. Sandra Bełc
inż. Justyna Sala
inż. Julia Pędziwiatr
- Department of Physics, University of Cambridge, Cambridge, UK
- MAX BORN INSTITUTE for Nonlinear Optics and Short Pulse Spectroscopy, Berlin, Germany
- Uniwersytet Medyczny w Łodzi, Katedra Onkologii, Zakład Patologii, Łódź, Polska
- Uniwersytet Medyczny w Łodzi, Klinika Andrologii i Endokrynologii Rozrodu, Łódź, Polska
- Wojewódzkie Wielospecjalistyczne Centrum Onkologii i Traumatologii im. M. Kopernika w Łodzi, Łódź, Polska
- Uniwersytecki Szpital Kliniczny im. Wojskowej Akademii Medycznej – Centralny Szpital Weteranów, Klinika Chirurgii Ogólnej i Kolorektalnej, Łódż, Polska
- Uniwersytecki Szpital Kliniczny im. Wojskowej Akademii Medycznej w Łodzi – Centralny Szpital Weteranów, Klinika Neurochirurgii, Chirurgii Kręgosłupa i Nerwów Obwodowych, Łódź, Polska
- Instytut Centrum Zdrowia Matki Polki, Klinika Neurochirurgii i Neurotraumatologii, Łódź, Polska
- Klinika Leczenia Niepłodności Salve Medica, Łódź, Polska
Virtual University on Laser Spectroscopy
Kierownik laboratorium:
dr hab. inż. Beata Brożek-Płuska, prof. uczelni
beata.brozek-pluska(at)p.lodz.pl
Międzyresortowy Instytut Techniki Radiacyjnej
Politechnika Łódzka
Wróblewskiego 15
93-590 Łódź
Polska
Telefon:
+48 42 631-31-92
prof. dr hab. Halina Abramczyk: halina.abramczyk(at)p.lodz.pl, +48 42 631-31-75
dr hab. inż. Jakub Surmacki, prof. uczelni: jakub.surmacki(at)p.lodz.pl, +48 42 631-31-91
dr inż. Arkadiusz Jarota: arkadiusz.jarota(at)p.lodz.pl, +48 42 631-31-91
dr inż. Monika Kopeć: monika.kopec(at)p.lodz.pl, +48 42 631-31-65



